مقدمة حول السماحية الزمنية في إدارة المشاريعالسماحية الزمنية
السماحية الزمنية هي مفهوم مهم في إدارة المشاريع يلعب دورًا أساسيًا في الجدولة وإدارة الموارد. وجود السماحية الزمنية يدلّ على درجة من المرونة في خطة المشروع، وهو ضروري لضمان إنجاز المشروع في الوقت المحدد. في هذا المقال سنستعرض أنواع السماحية الزمنية، وطرقها العملية في الحساب، ونقدّم مثالًا لتوضيح كيفية استخدامها. وفي النهاية سنعرّف منصة تسك براوز كأداة تساعدكم على حساب المسار الحرج والسماحية الزمنية.

جدول المحتويات:
ما هي السماحية الزمنية في إدارة المشاريع؟
بعبارة بسيطة، السماحية الزمنية في إدارة المشاريع هي مقدار الوقت الذي يمكن أن تتأخر فيه مهمة معيّنة دون أن يؤدّي ذلك إلى تأخير المشروع ككل. يوجد نوعان مميّزان من السماحية الزمنية يستخدمهما مديرو المشاريع لإدارة الجداول الزمنية للمهام: السماحية الزمنية الكلية والسماحية الزمنية الحرة.
السماحية الزمنية الكلية (Total Float)
هي مقدار الوقت الذي يمكن أن تتأخر فيه مهمة ما دون أن يؤثّر ذلك على تاريخ التسليم النهائي للمشروع. وعادةً عندما يتحدّث مديرو المشاريع عن السماحية الزمنية، فإنهم يقصدون هذا النوع تحديدًا. وهي أكثر حساسية من السماحية الحرة، لأن تجاوزها قد يعرّض موعد تسليم المشروع للخطر.
السماحية الزمنية الحرة (Free Float)
هي مقدار الوقت الذي يمكن أن تتأخر فيه مهمة ما دون أن يؤثّر ذلك على بدء المهمة التالية لها.ويُشار إليها أقل من السماحية الكلية. وعادةً لا تسبّب قلقًا كبيرًا بشأن التسليم في الوقت المحدد.
كيفية حساب السماحية الزمنية
أبسط طريقة لحساب السماحية الزمنية هي طرح الوقت الفعلي المستغرق لتنفيذ المهمة من الوقت المخطّط لها. على سبيل المثال، إذا خُصِّصت 10 أيام لمهمة ما، ولكن تنفيذها استغرق فعليًا 6 أيام فقط، فإن السماحية الزمنية هي 4 أيام.
المهام التي تكون سماحيتها الزمنية صفرًا تُعتبر جزءًا من المسار الحرج، لأن أي تأخير فيها يؤدّي مباشرةً إلى تأخير موعد المشروع.
مثال عملي
لنفترض أنك تعمل على مشروع إطلاق موقع إلكتروني جديد، ولديك 60 يومًا لإنهائه قبل موعد إطلاق حملة تسويقية كبرى.
لتنفيذ المشروع، يجب إنجاز المراحل التالية بالترتيب:
- تصميم واجهة المستخدم
- تطوير الموقع برمجيًا
- اختبار الجودة (QA)
- نشر الموقع على الخادم
هذه الأنشطة تشكّل المسار الحرج، ولها سماحية زمنية صفر، لأن أي تأخير في إحداها سيؤدّي إلى تأخير موعد إطلاق الموقع.
في المقابل، توجد أنشطة أخرى مثل:
- إعداد المحتوى النصّي للموقع
- تصميم الصور التسويقية
يمكن تنفيذ هذه الأنشطة في فترات مختلفة وبمرونة أكبر، طالما أنها تكتمل قبل مرحلة النشر، ولذلك فهي تقع خارج المسار الحرج ولديها سماحية زمنية.
على سبيل المثال، يمكن إعداد المحتوى النصّي في أي وقت بعد بدء التصميم، وبالتالي لديه سماحية زمنية عالية. كما يمكن تصميم الصور في أي وقت قبل موعد الإطلاق، ولذلك فإن له أيضًا سماحية زمنية.

كيفية حساب السماحية الزمنية في إدارة المشاريع
لحساب السماحية الزمنية، يجب اتباع الخطوات التالية:
1. إنشاء الرسم الشبكي (Graph)
أنشئ مخططًا شبكيًا يوضّح تسلسل المهام والعلاقات الاعتمادية بينها. يُستخدم هذا المخطط كأساس لإجراء حسابات السماحية الزمنية.
2. تحديد أقرب وقت بدء وأقرب وقت انتهاء
لكل مهمة، احسب أقرب وقت بدء (ES) وأقرب وقت انتهاء (EF) بناءً على جدول المشروع والعلاقات بين المهام.
3. حساب آخر وقت بدء وآخر وقت انتهاء
حدّد آخر وقت بدء (LS) وآخر وقت انتهاء (LF) لكل مهمة.
4. تطبيق صيغ السماحية الزمنية الكلية والحرة
لحساب السماحية الزمنية الكلية (Total Float)، اطرح أقرب وقت انتهاء للمهمة (EF) من آخر وقت انتهاء لها (LF):
TF = LF − EF
وبدلاً من ذلك، يمكن حسابها بطرح أقرب وقت بدء (ES) من آخر وقت بدء (LS):
TF = LS − ES
لحساب السماحية الزمنية الحرة (Free Float)، اطرح أقرب وقت انتهاء للمهمة (EF) من أصغر أقرب وقت بدء للمهام اللاحقة لها (ES للمهام التالية):
FF = ES (للْمهمة التالية) − EF
مثال لحساب السماحية الزمنية في إدارة المشاريع
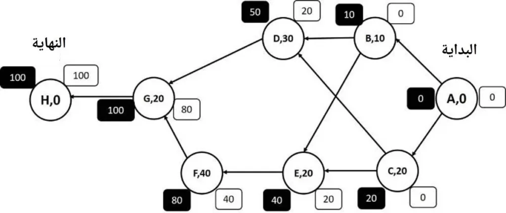
طريقة المسار الحرج هي خوارزمية لاتخاذ القرار. تقوم هذه الخوارزمية بأخذ وقت البدء ومدة التنفيذ ووقت الانتهاء لكل مهمة، لتحديد أيّ الأنشطة تستحق أكبر قدر من الاهتمام (أي أنها حرجة للمشروع). افترض أن لديك قائمة بالمهام كما في الجدول التالي:

تحديد أقرب وقت بدء وأقرب وقت انتهاء لكل نشاط
- لإجراء ذلك، ارسم جميع الأنشطة في مخطط انسيابي (Flowchart)، واكتب مدة كل نشاط بجانب ID الخاص به.
- اكتب وقت البدء (S) على يسار ويمين أول نشاط. غالبًا ما يكون 0.
- الآن اكتب أقرب وقت بدء (ES) لكل نشاط على يمينه. أقرب وقت بدء لأي نشاط هو أكبر رقم على يسار الأنشطة السابقة المرتبطة به. على سبيل المثال، النشاطان B و C هما متطلبات مسبقة للنشاط D. أقرب وقت بدء لهما هو 10 و 20 على التوالي، لذلك فإن أقرب وقت بدء للنشاط D هو القيمة الكبرى بينهما، أي 20.
- اكتب أقرب وقت انتهاء (EF) لكل نشاط على يساره. يتم حساب أقرب وقت انتهاء بجمع أقرب وقت بدء مع مدة النشاط. على سبيل المثال، النشاط D لديه أقرب وقت انتهاء يساوي: 30 + 20 = 50.

نقوم بالسير في المخطط الانسيابي بالاتجاه المعاكس: (Backward Pass)
- لإجراء ذلك، قم برسم جميع الأنشطة في مخطط انسيابي آخر، واكتب مدة كل نشاط بجانب معرّف النشاط (ID).
- اكتب زمن الانتهاء النهائي للمشروع F = 100، الذي حصلنا عليه من الخطوات السابقة، على يمين ويسار آخر نشاط.
- الآن حدّد أحدث زمن انتهاء (LF) لكل نشاط واكتبه على يسار النشاط. أحدث زمن انتهاء أي نشاط يساوي أصغر قيمة من أزمنة البدء المتأخرة (LS) للأنشطة اللاحقة له مباشرة.
على سبيل المثال:
الأنشطة اللاحقة للنشاط C هي النشاطان D و E. زمن البدء المتأخر للنشاط D يساوي 50، وللنشاط E يساوي 20. أصغر القيمتين هو 20، إذن:
LF(C) = 20
- بعد ذلك، حدّد أحدث زمن بدء (LS) لكل نشاط واكتبه على يمين النشاط. لحساب أحدث زمن بدء لأي نشاط، نطرح مدة النشاط من أحدث زمن انتهائه:
LS = LF − Duration
على سبيل المثال:
مدة النشاط C تساوي 20، وأحدث زمن انتهائه هو 20، إذن:
LS(C) = 20 − 20 = 0

حساب السماحية الزمنية الكلية للأنشطة (Total Float)
لحساب السماحية الزمنية الكلية (TF) لكل نشاط، يمكنك استخدام إحدى الصيغتين التاليتين:
TF = LF − EF
أو
TF = LS − ES
حيث أن:
- LF = أحدث زمن انتهاء (Latest Finish)
- EF = أبكر زمن انتهاء (Earliest Finish)
- LS = أحدث زمن بدء (Latest Start)
- ES = أبكر زمن بدء (Earliest Start)
خطوات التنفيذ
- احسب السماحية الزمنية الكلية لكل نشاط باستخدام إحدى الصيغ أعلاه.
- اكتب قيمة السماحية الزمنية الكلية لكل نشاط في أعلى العقدة الخاصة به في المخطط.

حساب المسار الحرج (Critical Path)
الأنشطة التي تكون السماحية الزمنية الكلية لها صفرًا (TF = 0) تقع على المسار الحرج. في الشكل أدناه، تم تمييز المسار الحرج باللون الأحمر. المسار الحرج يحدد الأنشطة التي يؤدي أي تأخير فيها إلى تأخير المشروع بالكامل. على المسار الحرج لا يوجد أي وقت إضافي متاح لتنفيذ الأنشطة. وعندما تكون للسماحية الزمنية قيمة موجبة، فهذا يعني أن النشاط يمكن أن يتأخر دون أن يؤثر ذلك على موعد الانتهاء الكلي للمشروع.

حساب السماحية الزمنية الحرة للأنشطة (Free Float)
لحساب السماحية الزمنية الحرة (FF) لكل نشاط، اطرح أبكر زمن انتهاء النشاط (EF) من أبكر زمن بدء النشاط التالي له مباشرة (ES للنشاط التالي):
FF = ES (للنشاط التالي) − EF
خطوات التنفيذ
- احسب السماحية الزمنية الحرة لكل نشاط باستخدام الصيغة أعلاه.
- اكتب قيمة السماحية الزمنية الحرة لكل نشاط في أسفل العقدة الخاصة به في المخطط.
ملاحظة
- السماحية الزمنية الحرة تبيّن مقدار التأخير الممكن للنشاط دون التأثير على بداية النشاط التالي له.

استخدام أدوات إدارة المشاريع
إن حساب السماحية الزمنية والمسار الحرج للأنشطة قد يكون ذا قيمة كبيرة، ولكن إجراء هذه الحسابات يدويًا في معظم المشاريع يكون غير عملي بسبب درجة التعقيد. لذلك يُعدّ استخدام أدوات إدارة المشاريع مثل تسك براوز حلًا مناسبًا.
تقوم هذه البرمجيات بحساب المسار الحرج تلقائيًا وتعرض النتائج للمستخدم. على سبيل المثال، قمنا بإدخال أنشطة المثال السابق في تسك براوز ليقوم بحساب المسار الحرج تلقائيًا:
- قم بتعريف المشروع في تسك براوز. (اطّلع على دليل تعريف المشروع)
- عرّف أنشطة المشروع أو استوردها إلى تسك براوز، مع تحديد تاريخ البدء وتاريخ الاستحقاق لكل نشاط.
- انتقل إلى مخطط جانت الخاص بالمشروع، وأنشئ علاقات المتطلبات المسبقة بين الأنشطة ببضع نقرات بسيطة.
- بعد ذلك، سيقوم تسك براوز بعرض المسار الحرج عبر تمييز الأنشطة الواقعة عليه باللون الأحمر.

من خلال تحديد السماحية الزمنية والمسار الحرج يمكنك تطبيق التغييرات اللازمة لضمان نجاح المشروع. وعند استخدام تسك براوز تصبح عملية إجراء هذه التغييرات بسيطة وسريعة للغاية. على سبيل المثال، يمكن تعديل تواريخ بدء وانتهاء الأنشطة والعلاقات بينها بسهولة تامة عبر مخطط جانت في تسك براوز وببضع نقرات فقط.
هل تحتاج إلى تسك براوز؟ سجّل مجانًا الآن.
استخدام السماحية لتحسين إدارة المشاريع
بغضّ النظر عن أسلوب إدارة المشروع الذي تتبعه، يمكن لكلٍّ من السماحية الكلية والسماحية الحرة أن تساعدك أنت وفريقك في إدارة الموارد، والجدولة الزمنية، وتسليم المشروع بفعالية أكبر. وتُعدّ السماحية ذات قيمة خاصة لمديري المشاريع الذين يعملون مع مقاولين خارجيين ومديري موارد داخليين.
فعلى سبيل المثال، عندما تكون على دراية بمقدار السماحية الحرة والسماحية الكلية لمهمة معيّنة، فإنك تمنح المقاولين لديك مساحة أكبر من المرونة. إذ يمكنهم اختيار أفضل الأفراد للعمل، وتنفيذ العمل عند وصول المواد المطلوبة، والعمل في أفضل الظروف المناخية، وتجنّب العمل الإضافي غير الضروري، وبالتالي تحسين خططهم التشغيلية.
كما يستفيد مديرو الموارد الداخلية من المرونة التي توفّرها السماحية في المشروع. فبدلاً من التعرّض لضغط مواعيد نهائية صارمة وغير قابلة للتفاوض، تتيح لهم السماحية المجال لتوزيع الموارد بأكثر الطرق كفاءة وفعالية.
فيما يلي بعض فوائد استخدام السماحية في إدارة المشاريع:
تحافظ على المشروع في المسار الصحيح
تُعدّ مراقبة السماحية الكلية للمشروع (TF) أمرًا بالغ الأهمية لضمان تسليم المشروع في الوقت المحدد. فإذا لاحظت أن السماحية الكلية تقترب من الصفر، فعليك التأكد من أن الأعمال المتبقية ستُنجز في موعدها. وقد تحتاج في بعض الحالات إلى إضافة موارد إضافية لمساعدة الفريق على إنجاز الأعمال النهائية بسرعة أكبر من المخطط لها أصلًا.
أما إذا أصبح من الواضح أن المشروع لن يكتمل في موعده، فحينها يجب التواصل مع العميل أو أصحاب المصلحة لإبلاغهم باحتمال حدوث تأخير.
تحسّن عملية تحديد الأولويات
تُعدّ السماحية الحرة (FF) مؤشرًا مفيدًا جدًا في تحديد الأولويات؛ إذ تساعدك على اتخاذ القرار بشأن المهام التي يجب تقديمها في قائمة الأولويات وتلك التي يمكن تأجيلها.
فالمهام ذات السماحية الصفرية أو المنخفضة يجب أن تكون في أعلى قائمة الأولويات، بينما يمكن تأجيل المهام ذات السماحية الحرة المرتفعة، لأنها لا تشكّل خطرًا مباشرًا على الجدول الزمني.
تعزّز معنويات الفريق
يمكن للسماحية الحرة أن تسهم في رفع معنويات فريق المشروع. فمثلًا، إذا كانت المهمة A ذات سماحية حرة منخفضة جدًا، فهذا يعني أن هناك خطر تأخير المهمة B. عندها يمكنك دعم الفريق المسؤول عن المهمة A بموارد إضافية لمساعدته على الإنجاز في الوقت المحدد.
وفي الوقت نفسه، يمكنك إبلاغ الفريق المسؤول عن المهمة B بإمكانية حدوث تأخير، ليكون مستعدًا لذلك. وبهذه الطريقة، يتم اكتشاف المشكلات مبكرًا، ولا يُفاجأ الفريق بتأخيرات غير متوقعة، مما يقلل من الإحباط ويُحسّن بيئة العمل.
تمكّن من تحسين تخصيص الموارد
من خلال فهم السماحية، يستطيع مديرو المشاريع تحسين توزيع الموارد عبر تعديل الجداول بما يتناسب مع توفر الموارد، وضمان استخدام الفرق بكفاءة دون التأثير السلبي على الجدول الزمني للمشروع.
تقلّل من مخاطر المشروع
يمكن استخدام السماحية كأداة لتقييم المخاطر. فالمهام ذات السماحية الكلية المنخفضة تُعدّ أكثر عرضة للتأخير، وبالتالي تشكّل مناطق محتملة للمخاطر.
لذلك يتم إعطاء هذه المهام أولوية في جهود تقليل المخاطر، وقد تتطلب موارد إضافية أو خطط طوارئ لضمان إنجازها في الوقت المناسب.
تحسّن التواصل مع المقاولين وأصحاب المصلحة
تُسهم السماحية، باعتبارها مؤشرًا على مرونة الجدول الزمني، في تسهيل التواصل الشفاف وحل المشكلات التعاونية. فمشاركة معلومات السماحية بوضوح تساعد في منع سوء الفهم والنزاعات، وتمكّن من مواءمة التوقعات ووضع اتفاقيات أكثر واقعية.
ترفع مستوى رضا العملاء
من خلال استخدام السماحية لإدارة الجداول الزمنية بفعالية، يمكن لمديري المشاريع زيادة رضا العملاء عبر تسليم المشاريع في الوقت المحدد أو حتى قبل الموعد، مما يعزّز الثقة ويبني علاقات إيجابية طويلة الأمد مع العملاء.